Kayserili belediye 26 arsa için kararını verdi: Parsel parsel satılacak
Belediye Mülkiyeti Bünyan Belediyesi'ne ait 26 taşınmaz ihale yoluyla satışa sunulacak. Yatırım avcılarının gözünü diktiği bu arsaların bedeli ne kadar? İhale ne zaman? Detaylar haberimizde…
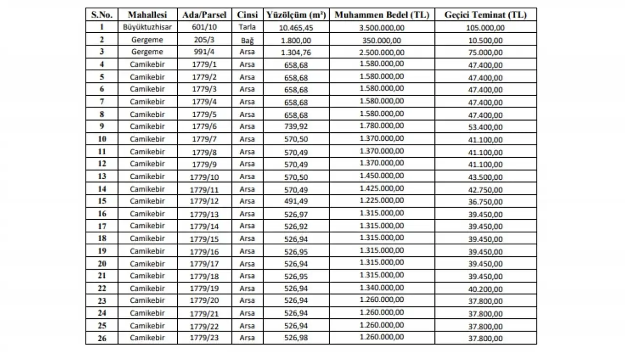
Kayseri’de Bünyan Belediyesi 26 adet taşınmazı Açık Teklif Usulü ile düzenlenecek ihale ile satacak. Büyüktuzhisar, Gergeme, Camikebir mahallelerinde yer alan arsaların muhammen bedeli ve geçici teminat bedeli açıklandı.
Tarla, bağ, arsa..
Kamuoyuna sunulan bağ, arsa ve tarla nitelikli taşınmazlar, 11 Şubat 2026 Çarşamba günü saat 16.00'da Belediye Meclis Toplantı Salonunda açık teklif usulü ile tek tek satılacak. Arsalardan bazılarının fiyatı aşağıdaki gibidir.
Büyüktuzhisar mahallesindeki tarla nitelikli taşınmazın muhammen bedeli 3 milyon 500 bin TL geçici teminat bedeli ise 105 bin TL olarak belirlendi. Gergeme Mahallesi’ndeki bağ nitelikli arsanı bedeli 350 bin TL geçici teminat bedeli ise 10 bin 500 TL olarak kaydedildi.
Öte yandan çoğu arsa olarak geçen ilçe genelindeki taşınmazların muhammen bedelinin 1 milyon 260, 2 milyon 500 bin bandında yüz ölçümü ve niteliğine göre değişiklik gösteriyor.
İhale detaylarına ulaşmak ve 26 arsa için belirlenen şartları öğrenmek için tıklayınz…
